simple hit counter Employee Conflict Of Interest Disclosure Form Template

Employee Conflict Of Interest Disclosure Form Template

Conflict Of Interest Disclosure Form Sample Conflict Of Interest Board Of Directors

Conflict Of Interest Disclosure Form Sample Conflict Of Interest Board Of Directors

Conflict Of Interest Disclosure Form

Conflict Of Interest Disclosure Form

Free Printable Conflict Of Interest Disclosure Form Generic Resignation Letter Legal Forms Employee Resignation Letter

Free Printable Conflict Of Interest Disclosure Form Generic Resignation Letter Legal Forms Employee Resignation Letter

Free Printable Conflict Of Interest Disclosure Form Generic Resignation Letter Legal Forms Employee Resignation Letter

Employee conflict of interest policy.

Employee conflict of interest disclosure form template. Name please print. This sample employee conflict of interest policy template is ready to be tailored to your company s needs and should be considered a starting point for setting up your employment policies. A person who has a financial interest may have a conflict of interest only if the appropriate governing board or committee decides that a conflict of interest exists. A potential or actual conflict of interest exists when commitments and obligations are likely to be compromised by the nominator s other material interests or relationships especially economic particularly if those interests or commitments are not disclosed. Conflict of interest disclosure form.

High quality and professionally formatted conflict of interest policy templates are ready to print and download for free. Conflict of interest policy template are generally meant to an employee is not allowed to gain any personal profit using company s name. In this case management hr and or the ethics department should review the situation. Describe the private interests that have the potential to impact on your ability to carry out or be seen to carry out your official duties impartially and in the public interest. Review the conflict of interest declaration.

Sometimes spotting a conflict of interest isn t easy even for the employee involved. A duty to disclose in connection with any actual or possible conflict of interest. Conflict of interest disclosure form. Completion of employee disclosure form. Conflict of interest policy and disclosure form for challenge employees a conflict of interest exists when there is evidence of or the appearance that an employee s personal interests have influenced or may influence agency transactions or operations or that these interests take precedence over the interests goals and or mission of the.

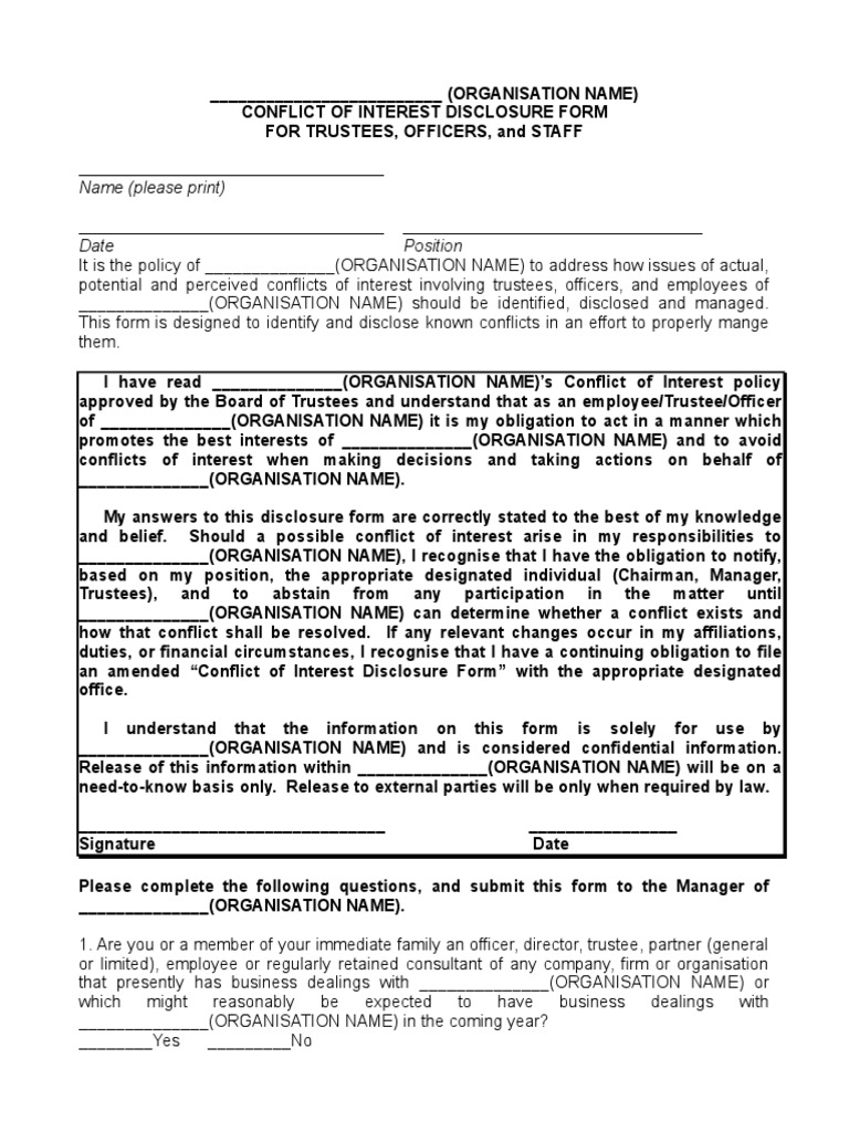
Each and every template is designed to satisfy the basic needs like your own needs and circumstances according to the companies rules. If any material changes to the responses provided on this disclosure form occur the trustee officer or employee is required to update the information on this form in writing and submit the update to the manager of organisation name. For trustees officers and staff. Financial interest is not necessarily a conflict of interest. Download our conflict of interest disclosure form template to help employees declare their actual perceived or potential cois.

Conflict of interest disclosure form. Conflict of interest employee disclosure form.

personal loan agreement with collateral template osha health and safety plan template pci dss 3 2 policy template operating agreement for an llc template phishing awareness email to employees template photo montage after effects template free patient registration form template in html free download
Vendor Conflict Of Interest Disclosure Form Citizens Property Insurance

Vendor Conflict Of Interest Disclosure Form Citizens Property Insurance

Conflict Of Interest Disclosure Form

Conflict Of Interest Disclosure Form

Nyc Conflict Of Interest Disclosure Form Fill Out And Sign Printable Pdf Template Signnow

Nyc Conflict Of Interest Disclosure Form Fill Out And Sign Printable Pdf Template Signnow

Fillable Online Hr Iu Conflict Of Interest Disclosure Form Indiana University Hr Iu Fax Email Print Pdffiller

Fillable Online Hr Iu Conflict Of Interest Disclosure Form Indiana University Hr Iu Fax Email Print Pdffiller

Fillable Online Conflict Of Interest And Disclosure Form The Florida Lottery Fax Email Print Pdffiller

Fillable Online Conflict Of Interest And Disclosure Form The Florida Lottery Fax Email Print Pdffiller

Https Www Mga Edu Human Resources Docs Conflict Of Interest Disclosure Form Pdf

Https Www Mga Edu Human Resources Docs Conflict Of Interest Disclosure Form Pdf

Declaration Of A Conflict Of Interest Form South Australia Free Download

Declaration Of A Conflict Of Interest Form South Australia Free Download

Conflict Of Interest Policy Sample Free Download

Conflict Of Interest Policy Sample Free Download

Conflict Of Interest Disclosure Avoiding The Fiduciary Duty Breach First Tuesday Journal

Conflict Of Interest Disclosure Avoiding The Fiduciary Duty Breach First Tuesday Journal

Disclosure And Confidentiality Agreement For Staff And Board

Disclosure And Confidentiality Agreement For Staff And Board

Personal Conflict Of Interest Disclosure Statement Template In Word And Pdf Formats Page 4 Of 9

Personal Conflict Of Interest Disclosure Statement Template In Word And Pdf Formats Page 4 Of 9

Form Of The Week Disclosure Of A Conflict Of Interest And Affiliated Business Arrangement Forms 527 And 519 205 First Tuesday Journal

Form Of The Week Disclosure Of A Conflict Of Interest And Affiliated Business Arrangement Forms 527 And 519 205 First Tuesday Journal

Employee Conflict Of Interest Policy Template

Employee Conflict Of Interest Policy Template

Https Gfh Com Wp Content Uploads 2019 10 Conflict Of Interest Policy Pdf

Https Gfh Com Wp Content Uploads 2019 10 Conflict Of Interest Policy Pdf

Conflict Of Interest Guidelines For Bc Public Service Employees Province Of British Columbia

Conflict Of Interest Guidelines For Bc Public Service Employees Province Of British Columbia

Conflict Of Interest Management Plan Template

Conflict Of Interest Management Plan Template

Free 7 Disclosure Statement Examples Samples In Pdf Examples

Free 7 Disclosure Statement Examples Samples In Pdf Examples

Financial Conflict Of Interest Report 3 Easy Steps

Financial Conflict Of Interest Report 3 Easy Steps

Free 50 Employment Forms In Pdf Ms Word Excel

Free 50 Employment Forms In Pdf Ms Word Excel

Form Of The Week Disclosure Of A Conflict Of Interest And Affiliated Business Arrangement Forms 527 And 519 205 First Tuesday Journal

Form Of The Week Disclosure Of A Conflict Of Interest And Affiliated Business Arrangement Forms 527 And 519 205 First Tuesday Journal

Conflict Of Interest Policy Sample Free Download

Conflict Of Interest Policy Sample Free Download

Https Encrypted Tbn0 Gstatic Com Images Q Tbn 3aand9gctevolqdexmclxsg3ak6naew7ptoftd5q9qvbh0qtttnyocw7mz Usqp Cau

Https Encrypted Tbn0 Gstatic Com Images Q Tbn 3aand9gctevolqdexmclxsg3ak6naew7ptoftd5q9qvbh0qtttnyocw7mz Usqp Cau

Https Www Springer Com Cda Content Document Cda Downloaddocument Jbmm Coi Form Ver 3 170802 281 29 Pdf Sgwid 0 0 45 1613149 P1110894

Https Www Springer Com Cda Content Document Cda Downloaddocument Jbmm Coi Form Ver 3 170802 281 29 Pdf Sgwid 0 0 45 1613149 P1110894

Declaration Of A Conflict Of Interest Form South Australia Free Download

Declaration Of A Conflict Of Interest Form South Australia Free Download

Https Usd Msu Edu Common Documents Coi Suppliers Pdf

Https Usd Msu Edu Common Documents Coi Suppliers Pdf

Declaration Module Conflict Of Interest Coi And Non Disclosure Agreement Nda Bonfire Support

Declaration Module Conflict Of Interest Coi And Non Disclosure Agreement Nda Bonfire Support

Https Www Springer Com Cda Content Document Cda Downloaddocument Disclosure Of Potential Conflicts Of Interest Pdf Sgwid 0 0 45 1469825 P174131257

Https Www Springer Com Cda Content Document Cda Downloaddocument Disclosure Of Potential Conflicts Of Interest Pdf Sgwid 0 0 45 1469825 P174131257

Https Www Novartis Com Sites Wwwnovartis Files Conflict Of Interest Policy Final En Pdf

Https Www Novartis Com Sites Wwwnovartis Files Conflict Of Interest Policy Final En Pdf

Free 26 Sample Statement Forms In Ms Word

Free 26 Sample Statement Forms In Ms Word

Conflict Of Interest Disclosure Avoiding The Fiduciary Duty Breach First Tuesday Journal

Conflict Of Interest Disclosure Avoiding The Fiduciary Duty Breach First Tuesday Journal

Conflict Of Interest What Is It

Conflict Of Interest What Is It

What You Must Know About A Conflict Of Interest In The Workplace

What You Must Know About A Conflict Of Interest In The Workplace

Sample Nonprofit Conflict Of Interest Policy Template For 501c3

Sample Nonprofit Conflict Of Interest Policy Template For 501c3

Board Of Directors Conflict Of Interest Policy And Disclosure Form

Board Of Directors Conflict Of Interest Policy And Disclosure Form

Conflict Of Interest Policy Free Template

Conflict Of Interest Policy Free Template

Fillable Online Talbotcountymd Conflict Of Interest Affidavit And Disclosure Form Talbotcountymd Fax Email Print Pdffiller

Fillable Online Talbotcountymd Conflict Of Interest Affidavit And Disclosure Form Talbotcountymd Fax Email Print Pdffiller

How To Handle An Employee Conflict Of Interest I Sight

How To Handle An Employee Conflict Of Interest I Sight

Conflict Of Interest What Is It

Conflict Of Interest What Is It

15 Conflict Of Interest Policy Examples Pdf Examples

15 Conflict Of Interest Policy Examples Pdf Examples

Https Www Trinitycollege Com Resource Id 5349

Https Www Trinitycollege Com Resource Id 5349

Examples Of Potential Workplace Conflicts Of Interest

Examples Of Potential Workplace Conflicts Of Interest

Conflict Of Interest Compliance Services

Conflict Of Interest Compliance Services

Conflict Of Interest Policy Sample Free Download

Conflict Of Interest Policy Sample Free Download

15 Conflict Of Interest Policy Examples Pdf Examples

15 Conflict Of Interest Policy Examples Pdf Examples

Managing Conflict Of Interest In Nih Peer Review

Managing Conflict Of Interest In Nih Peer Review

Ppt Presenter Disclosure Information Sample Disclosure Slide Powerpoint Presentation Id 1719174

Ppt Presenter Disclosure Information Sample Disclosure Slide Powerpoint Presentation Id 1719174

Https Encrypted Tbn0 Gstatic Com Images Q Tbn 3aand9gctevolqdexmclxsg3ak6naew7ptoftd5q9qvbh0qtttnyocw7mz Usqp Cau

Https Encrypted Tbn0 Gstatic Com Images Q Tbn 3aand9gctevolqdexmclxsg3ak6naew7ptoftd5q9qvbh0qtttnyocw7mz Usqp Cau

Cfpc Mainproa Declaration Of Conflict Of Interest Form

Cfpc Mainproa Declaration Of Conflict Of Interest Form

Https Www Tasb Org Services Legal Services Tasb School Law Esource Governance Documents Conflict Disclosures For Bd Mems And Dist Employee Pdf

Https Www Tasb Org Services Legal Services Tasb School Law Esource Governance Documents Conflict Disclosures For Bd Mems And Dist Employee Pdf

Http Www Challengeworkforcesolutions Org Policies Employee Conflict Of Interest Policy And Disclosure Form Pdf

Http Www Challengeworkforcesolutions Org Policies Employee Conflict Of Interest Policy And Disclosure Form Pdf

A Simple Conflict Of Interest Disclosure Template Download Convercent

A Simple Conflict Of Interest Disclosure Template Download Convercent

Conflict Of Interest The Policy University Of Iowa Hospitals Clinics

Conflict Of Interest The Policy University Of Iowa Hospitals Clinics

Http Www Theboarddoctor Info Uploads 7 8 3 9 78398336 10 Conflict Of Interest Policy Center For Nonprofit Management Pdf

Http Www Theboarddoctor Info Uploads 7 8 3 9 78398336 10 Conflict Of Interest Policy Center For Nonprofit Management Pdf

Sample Document Library Charter Support Unit

Sample Document Library Charter Support Unit

15 Conflict Of Interest Policy Examples Pdf Examples

15 Conflict Of Interest Policy Examples Pdf Examples

Board Of Directors Confidentiality And Conflict Of Interest Policy And Disclosure Doc Template Pdffiller

Board Of Directors Confidentiality And Conflict Of Interest Policy And Disclosure Doc Template Pdffiller

Pdf Conflict Of Interest

Pdf Conflict Of Interest